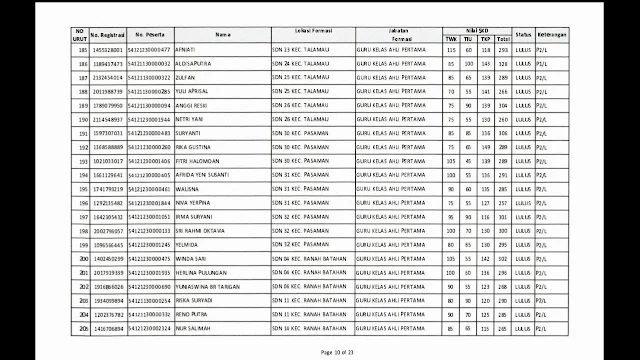
Nama - nama yang lulus SKD CPNS Tahun 2018 Kab Pasaman Barat
Informasi untuk kelulusan SKD CPNS sudah dikeluarkan khususnya untuk daerah Kab Pasaman Barat, Sumatera Barat yang mana beberapa yang lulus adalah hasil saringan dari banyak peserta yang melamar, dan bagi yang tidak lulus tetap semangat dan jangan putus asa ya :)
Oke langsung saja bagi yang penasaran. Berikut nama-nama yang lulus SKD CPNS Tahun 2018 untuk Kab Pasaman Barat
- Instagram : @gudangloker
- Whatsapp : @Saluran WA Gudangloker
Untuk Nama - nama yang lulus SKD CPNS Tahun 2018 Kota Sawahlunto Lihat Disini.
Oke langsung saja bagi yang penasaran. Berikut nama-nama yang lulus SKD CPNS Tahun 2018 untuk Kab Pasaman Barat
Perhatian - Sehubungan dengan maraknya tindakan penipuan dalam proses rekrutmen, kami merasa perlu memberikan peringatan kepada para pencari kerja. Adalah penting untuk waspada terhadap praktik-praktik yang merugikan seperti permintaan pembayaran di muka, komunikasi melalui saluran tidak resmi, tawaran gaji yang tidak proporsional, ketidakjelasan detail perusahaan, dan proses perekrutan yang tidak terstruktur.
Kami menegaskan bahwa kami tidak pernah meminta pembayaran maupun imbalan dalam bentuk apapun dari informasi pekerjaan yang kami berikan kepada para calon pelamar. Komunikasi resmi kami selalu melalui saluran resmi seperti email perusahaan dan situs web resmi kami.
Kami menghimbau para pencari kerja untuk selalu melakukan verifikasi terhadap informasi perusahaan, termasuk alamat kantor dan kontak resmi, sebelum melanjutkan dalam proses rekrutmen. Keselamatan dan keamanan informasi pribadi Anda adalah prioritas utama bagi kami.
Apabila Anda menemui tanda-tanda penipuan, kami mendorong Anda untuk segera melaporkannya kepada pihak berwenang. Kami berkomitmen untuk menciptakan lingkungan rekrutmen yang aman, transparan, dan profesional.
Kami menegaskan bahwa kami tidak pernah meminta pembayaran maupun imbalan dalam bentuk apapun dari informasi pekerjaan yang kami berikan kepada para calon pelamar. Komunikasi resmi kami selalu melalui saluran resmi seperti email perusahaan dan situs web resmi kami.
Kami menghimbau para pencari kerja untuk selalu melakukan verifikasi terhadap informasi perusahaan, termasuk alamat kantor dan kontak resmi, sebelum melanjutkan dalam proses rekrutmen. Keselamatan dan keamanan informasi pribadi Anda adalah prioritas utama bagi kami.
Apabila Anda menemui tanda-tanda penipuan, kami mendorong Anda untuk segera melaporkannya kepada pihak berwenang. Kami berkomitmen untuk menciptakan lingkungan rekrutmen yang aman, transparan, dan profesional.
Follow Media Sosial Baru Kami :
- threads : @gudangloker- Instagram : @gudangloker
- Whatsapp : @Saluran WA Gudangloker























